【特点】
小尺寸
低功耗
快响应
高灵敏
【应用】
空气质量、空气净化器、新风系统、物联网等
【描述】
HGS1001气体传感器主要由MEMS硅基加热器、纳米材料和表贴陶瓷壳体三部分构成,是 一款检测VOC浓度的气体传感器。该款气体传感器具有较高灵敏度,受温湿度影响更小。当传感器稳定工作于洁净空气环境时,设定此时传感器的敏感电阻为传感器基准电阻(R0),一旦空气中有被测气体存在时,半导体材料的电导率会变化,传感器的敏感电阻(Rs)也随之改变。根据传感器敏感电阻(Rs)和传感器基准电阻(R0)的比值来计算被测VOC的浓度。
【电路图】
传感器基本检测电路主要由加热器电压(Vh)、回路测量电压(Vc)和负载匹配电阻(Rm)组成。加热器电压(Vh)用于激活和保持纳米材料的灵敏度,回路测量电压(Vc)结合负载匹配电阻(Rm)用于测定负载匹配电压(Vm)。传感器敏感电阻(Rs)可根据负载匹配电压(Vm)的测定值进行计算,即:
【结构图】
引脚定义:
Pin1:加热引脚 Pin2:测量引脚
Pin3:加热引脚 Pin4:测量引脚
【规格表】

【灵敏度特性】
下图是在标准试验条件下的灵敏度特 性曲线。纵坐标为不同气体浓度下传感器电阻比(Rs/R0),横坐标为气体浓度。Rs表示传感器在不同浓度气体中的电阻值;R0表示传感器在洁净空气中的电阻值。
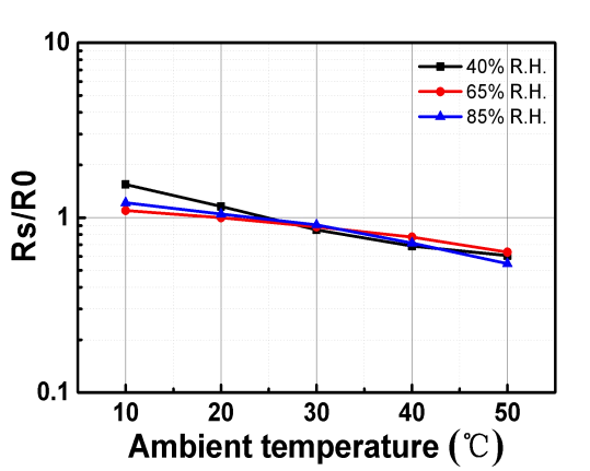
【温湿度特性】
下图是在标准试验条件下的温湿度 特性曲线。纵坐标为不同温湿度下传感器电阻比(Rs/R0),横坐标为温度。Rs表示传感器在各种温湿度下清洁空气中的电阻值;R0表示传感器在清洁空气中,温/湿度为20°C/65%R.H.时的电阻值。
【响应恢复特性】
下图是在标准试验条件下的响应恢复特性曲线。纵坐标为传感器的敏感电阻Rs,横坐标为测试时间,测试气体为10ppm乙醇气体。
【长期稳定特性】
下图是在标准试验条件下的长期稳定特性曲线。左纵坐标为传感器在空气中的敏感电阻R0,右纵坐标为传感器对5 ppm乙醇气体的灵敏度Rs/R0,横坐标为老化时间。
【注意事项】
1.传感器的使用和储存必须避免长期暴露于强酸、强碱、强腐蚀性气体环境,否则会影响传感器性能,可能造成传感器不可恢复性劣变或损坏。
2.传感器在使用和储存过程中应避免环境温度和湿度超出传感器适用的温湿度,否则会影响传感器中的敏感材料层,使其性质变化,导致传感器损坏。
3.传感器使用过程中需按照规定施于加热电压和测量电压以达到最优的测试性能。避免给于高电压,否则会导致传感器内部结构件不可逆损坏。
4.传感器需要在规定的目标气体浓度范围内进行检测,应避免长期处于高浓度目标气体,否则无法正常展现其传感性能,甚至可能导致传感器损坏。
5.传感器使用或运输过程中需要避免超高强度振动及冲击,如超声波振动等会造成传感核心元件损坏。